
Voltei de uma semana de férias com o FOMO gritando. Para você nunca sentir isso, trazemos sempre a curadoria das principais notícias de marketing da semana.
Piscou, Mudou:
Micro-creators entregam 3X mais.
Humor gera mais engajamento que creators?
A nova principal habilidade do marketing.
Brand Influence: Já está claro que trabalhar com influência é a bola da vez. Mas como aprofundar essa abordagem? Sugeri seis táticas além das publis.
🎧 Ouça a versão em áudio, e fique conectado até de olhos fechados
PARCEIRO #M15 EM DESTAQUE:

A Techdrop, em parceria com a Zoho Marketing plus, lançou o relatório “Marketing Pulse” coletando a visão de diversos executivos sobre os movimentos atuais do marketing. Acessar relatório →
PISCOU, MUDOU.
Notícias que você não pode perder.
◯ Micro-creators entregam 3X mais.
Quase todas as marcas trabalham com creators — 64%³, para ser exato. Essa tendência deve continuar crescendo, sendo a segunda ação com maior projeção de crescimento⁴. O burburinho aumentou, quando, a Unilever anunciou que destinará 50% de sua verba de mídia para social.¹
Já mostramos por aqui, que os creators menores transmitem mais confiança, mas será que dão mais resultado? Um nova análise com creators no Brasil² revelou um dado crucial: distribuir o investimento entre micro-creators gera maior alcance, mais engajamento e melhor performance de mídia.
MÉTRICA | MICRO-CREATORS | MACRO-CREATORS |
|---|---|---|
Investimento Total | R$ 1 milhão | R$ 1 milhão |
Soma dos Seguidores | 20 micro creators com 100K cada = 2M seguidores | 1 macro creator com 2M seguidores |
CPView | R$ 0,11 | R$ 0,31 |
Views Totais | 9,1 milhões | 3,2 milhões |
Engajamento Médio | 2,5% – 4% | 0,5% – 1% |
Profile Fit | 92% | 47% |

O marketing de influência se consolidou como uma das principais estratégias de publicidade digital no Brasil. O que vemos hoje é que muitas decisões são tomadas com base em fatores subjetivos, sem uma avaliação mais profunda do potencial de impacto de cada creator. A mídia de influência é tão central para a geração de demanda em 2025 que precisa ser tratada como mídia de verdade – um jogo de ciência exata, e não de achismos.
Como usar esta notícia: Em ações de influência, sempre considere usar vários creators.
◯ Humor gera mais engajamento que creators?
Essa semana, o Search Engine Journal¹ publicou uma matéria analisando 12 marcas que estão bombando no Instagram. Embora a amostra seja pequena, achei interessante comparar a principal linha de conteúdo de cada marca com a média de engajamento.
Estratégia Principal | Média da Taxa de Engajamento |
|---|---|
Humor | 0,20% |
Creators e Parcerias | 0,19% |
Storytelling e Identidade de Marca | 0,18% |
UGC | 0,17% |
Visuais Impactantes | 0,06% |
Como usar esta notícia: Compare sua taxa de engajamento com a média e reveja sua estratégia de social.
◯ Habilidade em alta: gestão estratégica
O LinkedIn divulgou as habilidades de marketing que mais crescem¹. Analisei os dados do Brasil e do mundo e notei algo interessante:
Em vários países, se destacam AI Literacy, Coordenação de campanhas, Estratégia de mercado e Gestão de budget.
O que isso revela? As contratações estão mais gerenciais e menos técnicas. A IA facilitou a execução, e o mercado responde com um novo perfil de profissionais. Eu particularmente considero um avanço para um marketing mais estratégico, e você?
Habilidade de marketing em alta no Brasil ² |
|---|
1. Otimização de página (Achei estranho esse) |
2. Inteligência artificial |
3. Alinhamento e execução de estratégia |
4. Habilidades de pesquisa |
5. Execução e gestão de campanhas |
6. Análise de dados |
7. Planejamento de mercado |
8. Comunicação |
9. Gestão de orçamentos de marketing |
10. Copywriting |
Curiosidade ao redor do mundo: Nos EUA¹, o foco está em performance e B2B. Na Índia⁸, a IA surge com uma abordagem mais técnica. Na França⁵, a ênfase é toalmente soft skills.
Como usar esta notícia: Se mantenha atualizado sobre IA e habilidades estratégicas e gerenciais.
Rapidinhas:
CHARGE DA SEMANA.
Clique para dar zoom
Brand Influence: 06 táticas de influência
Um debate sobre os temas da semana.

Todos os sinais apontam para a mesma direção: é hora de aprimorar a estratégia de influência da sua marca. E se isso não bastasse, o Google publicou esta semana um artigo intitulado "Coloque mapas de influência no centro da sua estratégia de marketing"¹. Me aprofundei no tema de marketing de influência e classifiquei seis táticas de influência para potencializar sua estratégia.
1. Endorsement / Embaixador
A estratégia clássica onde uma personalidade representa a marca, transferindo credibilidade e conexão emocional para o público. Pode ser feito de forma pontual como em uma campanha (endorsement) ou de maneira continua (embaixador). Aproximadamente, uma em cada quatro campanhas usa esta abordagem⁵.
2. Creators como mídia
Substitui mídia tradicional por uma rede de creators, incluindo perfis agregadores e faceless (estilo: Perrengue Chique, etc). Uma pesquisa mostrou que 1% de aumento neste tipo de estratégia, gera um aumento de 0,457% no engajamento da marca³.
3. Founder-Led / Employer Content
Líderes e funcionários da empresa são incentivados a se tornarem creators, humanizando a marca e fortalecendo sua autoridade, especialmente em mercados B2B que dependem do LinkedIn.
4. Prosumer / UGC
Consumidores são incentivados a criarem conteúdo sobre a marca, gerando autenticidade e ampliando seu alcance. Pode ser feito através de campanhas de incentivo e premiação, como por exemplo a campanha “#ShotOnIphone” da Apple.
5. Antropomorfização
A marca assume uma personalidade própria como influenciador digital, seja por mascotes virtuais, avatares ou um tom de voz único nas redes sociais. O Duolingo, que provavelmente é o maior exemplo dessa estratégia, tem um engajamento 44 vezes maior que a média de 0,18%⁶.
6. Engenharia Social / Seeding / Trickle-Down
O produto é inserido para consumo em grupos de influência para se espalhar organicamente. Exemplo clássico: Edward Bernays popularizando cigarros entre mulheres na década de 30, ao inserir atrizes fumantes em protestos feministas⁷.
Quais dessas você já utiliza e quais poderia adotar? Há alguma razão para não usar todas as seis? Além disso, é importante considerar quais tipos de personalidade pretende aplicar:
Creators, Influencers e Celebridades.
Esses termos costumam ser usados como sinônimos e não há uma nomenclatura padrão. Aqui está o entendimento que sigo:
Influencer: Qualquer pessoa que influencia as decisões de um grupo.²
Creator: Profissional da criação de conteúdo com uma audiência própria e disponível para contratação.
Celebridade: Pessoa de grande exposição pública, reconhecida por uma instituição (atores, CEOs, atletas etc.)³.
Esses perfis podem se sobrepor — uma pessoa pode ser influencer, creator e celebridade ao mesmo tempo. Um chef renomado, por exemplo, pode influenciar tendências gastronômicas (influencer), criar conteúdos com parcerias no YouTube (creator) e ser reconhecido pelo grande público por prêmios e TV (celebridade).
Também há casos em que alguém é influente, mas não está disponível para parcerias, como um especialista de mercado respeitado, que impacta decisões, mas não cria conteúdos profissionais para sua audiência própria.
O importante é considerar todos perfis podem contribuir para sua estratégia de influência.
Celebridades ou não celebridades?
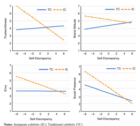
Desde 2007², a efetividade das celebridades na propagação de conceitos vem sendo questionada. Uma pesquisa acadêmica de 2019⁴ já havia mostrado que influenciadores não-celebridades geram melhores resultados em confiança, presença social e atitude em relação à marca. Essa análise tem se confirmado nos resultados práticos que temos comentado no #M15. No entanto, esses efeitos são mais voláteis— quanto menor a identificação do público com a personalidade, menor o impacto. Por isso, para campanhas de massa, o uso de celebridades ainda pode ser vantajoso.

A linha laranja representa as "não celebridades". Observe como o valor inicial é mais alto e diminui à medida que a identificação vai decaindo.⁴
Vamos continuar essa conversa no nosso grupo secreto de whatsapp? Indique 05 pessoas para o #M15 e receba o link de acesso.
O que achou da edição de hoje?
Viu alguma informação que precisa ser corrigida? Notificar errata.

